- 明年财政政策还有多少空间?
- 来源:明晰笔谈
文丨明明债券研究团队
报告要点
在大规模减税降费和严控房地产的政策背景下,财政收入增速出现明显放缓,市场担心未来财政的逆周期调节可能存在心有余而力不足的情况。经过我们的简单估算,虽然2020年财政确实面临较大的压力,但是财政政策仍然具有一定的腾挪空间。
明年财政可能面临较大的压力,财政资金缺口或将明显高于往年。我们大致对明年的财政缺口进行简单的测算,重点放在公共财政收支和政府性基金收支的预测,方法是找出与之相关性较强的因素,根据趋势对这两本账的收入和支出增速分别做出估计,从而大致估算2020年的财政缺口。
财政长期应当按照收支相抵的原则运作,但经济下行压力较大时,政府对赤字的容忍度通常会有所增加。3%并非财政赤字率的硬约束,主要国家的财政赤字率经常阶段性高于3%。在经济危机期间,美国和欧元区的财政赤字率均在2009年到达了阶段性的高点9.78%和6.27%。中国一直以来实际赤字率并不高,但自2015年突破至3.45%以后,一直保持在3%以上。相比之下,美国财政收支增速之间的波动更大,逆周期调节力度更加显著。
如果适当增加对债务和赤字的容忍度,预算内资金大致可以弥补明年的财政缺口。政府性基金“赤字”可用专项债弥补,2020年新增专项债额度将进一步增加。公共财政的实际赤字中,预算赤字率或可有小幅提升,能够依靠发行国债弥补;剩余缺口可依靠财政结余结转和调入资金,以及或有的税收改善和国企增加利润上缴来弥补。如果考虑更加广义的财政,还有政策性银行贷款,PPP,城投平台等,财政并不缺乏腾挪空间。
从长期视角来看,中国未来经济的引擎和财政收入的来源应当是消费和制造业。过去中国经济以房地产为引擎,房价经历了飞速的上涨,导致市场风险快速累积,旧的发展模式已经难以为继。基建也难以成为经济的引擎,2013年-2017年的高基建增速并未赋予经济增长更多的动能,经济反而处于不断下台阶的过程。相比之下,在中国经济当前的发展阶段,宽财政和基建支出更在于托底经济,或者更像是经济的打火装置,如何通过短期的刺激和长期的制度安排带动制造业和消费复苏并回到正常的轨道,或许是当前亟待解决的问题。如果经济能够逐渐从旧的增长模式转向新经济、新动能,长期经济增长和财政收支平衡的问题都会迎刃而解。
正文
在大规模减税降费和严控房地产的政策背景下,财政收入增速出现明显放缓,短期内的压力尚在承受范围之内,预算赤字也没有失控风险。但再看的更长一些,市场普遍担心未来财政逆周期调节可能心有余而力不足。一方面逆周期的财政政策要求较多刚性支出,压减的空间不大;另一方面,财政收入增速放缓的趋势相对确定。随着财政政策的宽松基调愈发明显,政府已经开始提前为明年的专项债发放做准备,如何看明年以及未来财政的压力?
明年财政缺口有多大?
这一部分我们将大致对明年的财政缺口进行简单的测算。财政预算包括四笔账,分别为公共财政预算、政府性基金预算、国有资本经营预算和社保基金预算。由于国有资本经营预算占比较小,社保基金预算原则上自我平衡,因此我们把重点放在公共财政收支和政府性基金收支的预测上来,方法是找出与之相关性较强的因素,根据趋势对这两本账的收入和支出增速分别做出估计。
公共财政收入:主要受名义GDP和减税影响。由于公共财政收入的主要来源是税收收入,大多数年份占比超过85%,而税收收入是公共财政参与国民收入分配的结果。从这个角度来看,税收收入的多少主要与国民收入(名义GDP)以及分配比例(税率)有关。从图1中我们可以看到,公共财政收入与名义GDP同比增速趋势相关,其中财政收入增速的波动更加频繁,主要受到分配规则调整、经济结构变化或者其他扰动因素的影响。由于今明两年实际GDP大概率稳在6%附近,名义GDP或将随通胀小幅下滑,在税率不再继续下调的假设下,考虑到今年1-7月公共财政收入累计同比增速为3.1%,如果我们按照今明两年2.5%的复合增速对明年的收入进行估计,预计2020年公共财政收入将达到19.3万亿元。
公共财政支出:刚性支出较多,近年来增速相对平稳,财政扩张也是逆周期调节的手段。公共财政支出的分项较多,占比也相对平均。其中,社保就业以及教育支出占比较高,而且相对刚性,难以压减;一般公共服务支出在2018年末占比不到10%,即使再压减10%,对财政支出的影响也不会超过1%;在逆周期调节的过程中,节能环保、农林水、交运、城乡社区等基础设施建设或相关服务的支出也难以大幅缩减。总体而言,预计财政支出将继续保持平稳运行,考虑到1-7月财政支出累计同比增速为9.9%,如果我们按照2016-2018年的增速均值7.6%来估算今明两年财政支出的复合增速,那么2020年财政支出将达到25.6万亿元。预计狭义的实际赤字将达到6.3万亿元,对比2018年的3.75万亿元将有明显的增加。
政府性基金收入:与土地出让收入相关性较高,受土地市场影响明显,明年增速或难有起色。由于土地出让收入在多数时间占政府性基金的比重超过80%,政府性基金收入增速的走势与土地出让收入以及土地购置面积增速相关性较高。政府今年的卖地情况与2015年非常相似,都是前几年土地成交较好,卖地收入增速较快,而当年的土地成交面积增速迅速降到-30%到-40%之间,唯一的不同在于今年的土地出让收入和政府性基金收入增速明显高于2015年,或许是由于房企在一二线城市拿地的比例有所提升。2015-2016年的政策刺激主要助长了一二线城市的房价,对房企当期拿地的刺激有限,政府性基金收入在此期间的复合增速在-7%左右。回到当下,在房企融资收紧、销售增速走弱的情况下,今明两年土地市场都难言乐观。尽管今年1-7月政府性基金收入累计同比阶段性转正,提升到了5.5%,但政策对土地市场向下的拉力较强,预计今明两年的政府性基金收入复合增速或低于2015-2016年,如果估计为-10%,那么2020年政府性基金收入将下滑到6.1万亿元。
政府性基金支出:政府性基金支出较为保守,考虑新增专项债后,往往还有结余。观察政府性基金收支的历史走势,不管是收支绝对数抑或是增速,二者走势都十分拟合,说明政府性基金的支出是相对保守的。就绝对数来看,在新增专项债公布额度之前,历年的政府性基金都是盈余状态,直到新增专项债不断扩容,政府性基金预算才出现了小幅的“赤字”,但远远小于新增专项债的发行量,2017和2018年的结余均超过8000亿元,总的来看仍是“年年有余”。政府性基金预算的表现或许受到政策对地方政府债务的约束影响,地方政府增加债务的意愿和动力都相对较弱,故而相对保守。二者的分化主要出现在今年,专项债提前释放额度,政府性基金提前支出是最主要的影响因素。因此,一方面要考虑政府性基金收入下滑的影响,支出增速不会太高;另一方面也要体现逆周期政策发力,特别是基建托底经济方面的作用,我们大致将今明两年政府性基金支出的增速分别按照15%和5%(由于今年政府性基金支出节奏提前,1-7月累计同比还有33.8%的增速,全年增速可能会有明显下滑)做乐观估计,2020年的支出将达到9.7万亿元。
逆周期调节需要适当增加赤字支出
短期财政收入对支出并不形成硬约束
长期来看,财政总体上是按照以收定支,收支相抵的原则在运作。从财政预算中与实体经济联系较为紧密的公共财政预算和政府性基金预算两笔账来看,每年财政收入与支出的增速长期的走势高度相符,过去财政的收支差额也保持在较小的水平。近年来,自2008年全球经济危机开始,人口红利、追赶效应等经济增长的加成因素都在不断弱化,经济逐渐步入新常态,需求增速开始下滑,使得财政不得不增加赤字支出的力度,收支增速的波动在近十几年也相对较大。
但是,逆周期的财政政策会导致支出短暂突破收入的约束。以2008年次贷危机前后的时期为例,新千年到经济危机发生前,中国经济正处于历史上发展最快的阶段,财政收入持续跑赢财政支出的增速,甚至在2007年出现了财政盈余,再考虑到国债的发行,财政在这段时间处于不断结余的状态。2008年以后,经济下行压力骤然增加,财政收入增速下滑到11.72%,而财政支出反而上升到25.70%,依靠过去结余的结转,通过“四万亿”计划刺激经济反弹。
以美国为例,美国财政收支增速之间的波动更大,逆周期调节力度显著。对比美国的财政收入与支出节奏,更能体现出财政的波动性。从2000年互联网泡沫和2008年次贷危机两次特定阶段看,联邦财政收入增速均出现了明显下滑并转负,其中2009年深度转负到-16.60%,而财政支出均有所增加,2009年更是上冲到17.94%。同时,我们也应该看到90年代前中期和10年以后到特朗普减税以前,联邦财政收入增速长期高于支出增速。因此,财政的平衡要在更长期的视角下来看。在经济面临短期的下行压力时,经济基本面决定的财政收入和逆周期政策要求的财政支出之间发生短期的分化是不可避免的。
3%并非财政赤字率的硬约束,主要国家的财政赤字率经常阶段性高于3%。从美国、欧元区和中国三个经济体广义赤字率的历史走势来看,在经济危机期间,美国和欧元区的财政赤字率均在2009年到达了阶段性的高点9.78%和6.27%。相比之下,中国一直以来实际赤字率并不高,但自2015年突破至3.45%以后,一直保持在3%以上(包含了公共财政预算和政府性基金预算)。因此,实际赤字率在经济下行压力较大的阶段保持在3%或以上并非不可接受,而每年政府工作报告上公布的狭义赤字率也并非政府财政的硬约束。
明年财政的资金来源
尽管2020年财政可能面临较大的压力,但是只要政府小幅提高对债务或赤字的容忍度,预算内的资金在很大程度上就能填补财政缺口。如果考虑更加广义的财政空间,财政并不缺乏腾挪的余地。
政府性基金“赤字”可用专项债弥补。即使将地方政府隐性债务纳入考虑,中国的政府债务在国际对比中也并不突出,地方政府还有一定的杠杆空间。中央对地方债务的限制,更多的是希望将地方债务摆上明面,限制其野蛮生长,对专项债实则是相对积极的态度。地方政府专项债自2015年公布新增额度以来,额度的增长速度十分可观,按照时间顺序分别为1000亿元、4000亿元、8000亿元、13500亿元、21500亿元。再加上政府对明年专项债发行的重视,说明专项债或许能够在将来发挥更大的作用。另一方面,财政本身对政府性基金“赤字”并不排斥,历年的预算数中就有所体现,2019年的政府性基金预算“赤字”约为2.19万亿元,与新增专项债额度2.15万亿相近,说明财政对于政府性基金的“赤字”已经有所安排。因此,在明年政府性基金支出需求大,收入来源弱的情况下,新增专项债额度将继续增加。
预算赤字率存在上调的可能。根据上文分析,中国预算赤字率的波动相对其他国家较小,3%也非硬性约束,不排除上调预算赤字的可能,即使按照3%或3.2%做保守估计,也能够对应超过3万亿元的资金,主要通过发行国债来弥补。由于今明两年的实际GDP增速大概率在6%附近,如果今明两年复合的名义GDP增速估计在7.5%左右,2020年的名义GDP约为104万亿元左右。如果考虑安排3%的预算赤字率,将对应3.12万亿元;如果考虑安排3.2%的预算赤字率,将对应3.33万亿元。
财政结余结转和调入资金或许仍有较大空间。在历年的财政决算中,有大量结余资金未被利用,包括一部分沉淀下来的“存量资金”。这些资金可以在年末的财政决算中结转进入公共财政,以弥补实际赤字超出预算赤字的部分。类似的,中央预算稳定调节基金也有这种功能。由于财政账户勾稽关系相对复杂,财政四本账之间可以相互调用,历史统计数据也有一些缺失,所以很难准确估计财政结余资金的空间。在2019年3月财政部发布的《关于2018年中央和地方预算执行情况与2019年中央和地方预算草案的报告》中,将2019年调入资金及使用结转结余的预算定为15144亿元,能够从侧面反映包括可以盘活的存量资金在内的结余资金+中央预算稳定调节基金的余量仍然充裕,如果政府此举是谨慎的,那么预计剩余的资金或在2-3万亿之上。2017年结转和调入的资金为1万亿元,2018年为1.48万亿元。预计在经济下行压力更大的今明两年或许会有更多的资金调入,2020年超过2万亿元的可能性较大。
税收或有小幅增长的余地,主要考虑企业所得税收入反弹和国企利润上缴。企业所得税是全国财政收入中除增值税以外最大的税种,2018年的收入为3.53万亿元,占2018年全年财政收入的19%。企业所得税主要由企业的毛利决定,工业企业利润与财政企业所得税收入之间有较强的相关关系。考虑到当前企业利润增速已经进入磨底状态,在逆周期调节之下,明年反弹概率较大,财政的企业所得税收入将会有所改善。另一方面,2018年国有企业利润总额约为3.39万亿元,如果适当上调部分企业的利润上缴比例,也能为财政提供一定的增量资金。用2018年的收入水平考虑这两项收入的量级,如果2020年企业利润回升至10%以上,再从国有企业中多抽调一些利润,这两项带来的预算收入增量或可到达0.5万亿。
经过大致的估算,明年的财政赤字压力虽大,政策同样具备腾挪的空间,财政短期并不存在失控的可能。对于上述资金来源的估算仅限于预算内资金,如果考虑更加广义的财政空间,还有政策性银行贷款,PPP,城投平台等,财政政策腾挪的空间并不是问题,关键在于是否有助于经济的健康发展,能否实现财政长期的收支平衡。
从更长期的视角来看,中国未来经济的引擎和财政收入的来源应当是制造业和消费。过去中国经济以房地产为引擎,房价经历了飞速的上涨,导致市场风险快速累积,旧的发展模式已经难以为继。基建也难以成为经济的引擎,2013年-2017年的高基建增速并未赋予经济增长更多的动能,经济反而处于不断下台阶的过程。相比之下,在中国经济当前的发展阶段,宽财政和基建支出更在于托底经济,或者更像是经济的打火装置,如何通过短期的刺激和长期的制度安排带动制造业和消费复苏并回到正常的轨道,或许是当前亟待解决的问题。如果经济能够逐渐从旧的增长模式转向新经济、新动能,长期经济增长和财政收支平衡的问题都会迎刃而解。
债市走势回顾
上周五(8月30日)至本周四(9月5日)利率小幅下行,债市走强。货币市场方面,目前银行体系流动性总量处于合理充裕水平,央行连续多日暂停公开市场操作以回笼资金,但资金面依旧相对偏松,各期限货币资金利率大体下行;利率债方面,受政金债政策并无变动以及国常会“货币+财政”双码下定向降准与降息概率增加的影响,国债现券收益率大体下行。国债期货自上周四起先跌后涨,最终小幅收跌。整体而言,本周债市震荡走强。
货币市场:资金面变化不大
上周五(8月30日)至本周四(9月5日),由于吸收政府债券发行缴款和缴存法定存款准备金等因素的影响,目前银行体系流动性总量处于合理充裕水平,因此央行并未进行公开市场操作,净回笼资金2200亿元。资金面整体依旧相对偏松,货币市场利率银行间市场回购加权利率与银行间质押式回购加权利率总体均呈下行趋势。周一DR007下行3.65bps至2.63%,R007下行4.17bps至2.77%。周二有800亿元的7天逆回购到期,净回笼资金800亿元,DR007较周一下行5.28bps至2.58 %,R007下行4.44bps至2.72%。周三央行继续暂停操作,有600亿元的7天逆回购到期,净回笼资金600亿元,DR007较前日上行0.63bp至2.65%,R007较前日下行3.01bps至2.69%。周四DR007较前日上行3.79bps至2.62%,R007较前日上行2.34bps至2.72%。总体上看,货币市场流动性合理充裕。下周一将有1765亿元1年期MLF到期,MLF利率是否变化值得重点关注。
利率债市场:专项债利空 vs 宽货币利好
二级市场方面,上周五至本周四,10年期国债收益率大体呈下行趋势。10年期国债活跃券190006的收益率从上周四的3.0325%下行至本周四的3.0125%,10年期国开活跃券190210收益率也从上周四的3.45%下行至本周四的3.436%。
具体来看,周五10点左右银保监会发布《关于部分地方中小银行机构现场检查情况的通报》,同业监管趋严以引导资金进入实体的市场预期再度发酵,再次导致利率债抛售与利率上行,190006收益率全天上行2.25bps,收于3.055%;190210收益率较上一交易日上行2bps,收于3.47%。
由于周末公布的中采PMI不及预期,周一早盘市场悲观情绪占据主导,利率有所下行。但随后公市场避险情绪趋缓,科技、军工等板块领涨股市,股债跷跷板效应开始发挥作用,利率转而上行,周一190006收益率全天上行1.5bps,收于3.07%;190210收益率较上周上行1.75bps,收于3.4875%。
周一晚上银保监会表示政金债政策并无变动,因而活跃券利率在周二开盘后有所下行,尾盘提前下达2020年新增政府债务限额的消息传出后,利率再次上行。总体而言,周二190006收益率全天下行0.5bp,收于3.065%;190210收益率较周一同样上行1bp,收于3.4975%。
周三政府辟谣专项债,称财政部提前摸底专项债需求情况,明年1月正式发行,叠加降息预期等因素影响,利率快速下行,因而周三190006收益率全天下行2.5bps,收于3.04%;190210全天收益率下行2bps,收于3.4775%。
周四债市对周三晚间国常会的解读较为乐观,国常会对货币政策和财政政策的表述中释放宽松预期,定向降准可期,9月降息概率增加,因而190006收益率全天下行2.75bps,收于3.0125%;190210全天利率下行4.15bps,收于3.436%。
国债期货:震荡走势,小幅收跌
上周五至本周四,国债期货涨跌互现,在震荡中小幅走低。10 年期国债期货主力合约 T1912近五个交易日收跌 0.13%(以收盘价计)。其中,上周五T1912开盘一路下跌,当日大跌0.35%;周一T1912开盘后继续下跌,午盘后有所拉升,全天收跌0.19%;周二T1912全天基本保持震荡,临近尾盘时下挫明显,全天收跌0.05%;周三T1912高开后有所走低,临近午盘时开始拉升,最终全天收涨0.14%;周四T1912高开后保持震荡,全天涨0.24%。
市场回顾
可转债
可转债市场回顾
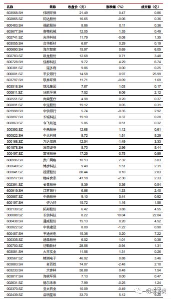
9月5日转债市场,平价指数收于93.46点,上涨1.16%,转债指数收于112.69点,上涨0.90%。173支上市可交易转债,除升转债、中装转债、久其转债横盘外,157支上涨,13支下跌。其中,长信转债(5.61 %)、冰轮转债(5.47)、广电转债(4.19%)领涨,绝味转债(-1.54%)、和而转债(-1.08%)、蓝标转债(-0.99%)领跌。173支可转债正股,除海峡环保、溢多利、中航机电、双环传动、兄弟科技、吉视传媒、格力地产横盘外,131支上涨,35支下跌。其中长信科技(10.04%)、蓝思科技(8.21%)、冰轮环境(6.06%)领涨,和而泰(-3.09%)、老百姓(-2.48%)、绝味食品(-2.30%)领跌。
可转债市场周观点
上周转债市场受制于权益市场整体小幅震荡,中证转债指数基本收平。权益市场的反复以及整体偏高的溢价率两者叠加使得转债整体市场近期表现略显平淡,指数波动显著缩小;但是指数受到权重因素影响较大,实际上个券层面却依旧有不少标的接连创下新高。
近期多份周报中我们讨论过波动中的分化是短期市场的核心特点,所以需要精细择券。时间进入9月份,这一持续了两个月的特征是不是还会延续?
9月的市场节奏可能更值得重视。上周上市公司的中报披露期正式结束意味着业绩的短期敏感度开始下降,重新回归舞台的是市场内外宏观扰动因素,这些因素更多冲击的是市场风险偏好与预期,不排除市场内生分化会有所收敛的可能性。
一是权益市场的风格,月初情绪或是基本面的支撑可能并不牢固,不排除市场会面临一定反复的可能性,考虑到转债市场低价个券的选择并不丰富,投资者可以进一步精简个券适当兑现部分中高估值标的的收益,同时借助中上旬可能的波动调整持仓结构,换而言之投资者可能需要主动提升交易的频率,在过去两个月不宜这样操作。节奏上9月下旬可能是下一次突围启动的潜在时机。
二是个券分化的老生重弹,过去一段时间个券分化主要体现的是基本面的差异,但优质老券正在陆续退市、新鲜血液的补充速度还在缓慢恢复。基本面是一个长期的逻辑核心,在基本面之外,中短期维度个券正股自身的特征可能也会在市场节奏的扰动中走出分化的走势。把握节奏实际上也是在不同环境下寻找风格特征相匹配的个券。
在具体操作层面,方向其实并不稀缺:月初可以重点关注正股低估值的品种,例如大金融、公用事业、军工板块,逆周期角度的汽车及零部件板块、医药板块等,TMT板块则更适用于中长期的逻辑,同时建议关注波动中提供的低价机会以及条款博弈机会。
高弹性组合建议重点关注参林(百姓)转债、和而(拓邦)转债、绝味转债、高能转债、洲明转债、光电转债、安图转债、天康转债以及金融转债。
稳健弹性组合建议关注蒙电转债、水晶转债、玲珑转债、启明转债、蓝晓转债、华森转债、明泰转债和大银行转债。
风险因素:市场流动性出现大幅波动,宏观经济不如预期,无风险利率大幅波动,正股股价超预期波动。
股票市场
转债市场
中信证券明明研究团队
金融
-
-
- 西部牧业聘请职业经理之后,因爱宝贝等奶粉业务依然净亏,依靠赊账提高销量!
- 日前,西部牧业(300106.SZ)发布了2019年半年度报告,实现营业收入约为3.43亿元,与去年同期3.31亿元相比,增幅不足4%;归属于上市公司股东的净利润约为187万元,相较于2018年上半年
- 财经啸侃
-
-
-
- 定了,柳州万科第一个项目叫万科城!
- 柳电关停、柳化退城入园、柳钢建设新基地,近年来,为了提升柳北片区的居住与生活环境,市有关部门针对柳北进行了全新规划。在全新的机遇下,白露沿江片区作为2019年柳州八大重点改造项目之一,吸引了一座城的关
- 南宁万科
-
-
-
- 20190906:主流题材休整,关注低位板块
- 1.市场观察: 整体: 昨天市场在政策利好下,如期上演了冲高回落的剧情,类券商板块在上半10点半达到高潮,随后回落,科技板块在下午1点半达到高潮,随后回落,盘中军工也试图反抽,未遂,最终连板晋级只有3
- 无名猎手
-
-
-
- 上海五星级酒店经营1至7月同比下降3.52%
- 住宿和餐饮业营业收入数据和投资数据,旅游业数据。后附赵焕焱在媒体发表观点。 一、五星级酒店经营数据 、平均房价 年7月879元-2.79% 年1至7月942元-2.33% 、平均出租率 年7月70%-
- 赵焕焱
-
-
-
- 午评:凭什么他可以炒股获利?
- 目前100000+人已关注 加入我们成功跑赢大盘 今日头条财经领域最具影响力创作者 腾讯网年度十大财经大V 核心策略:继续持股待涨! 今日观点:重点关注跳空缺口并根据
- 王者财经午评
-
-
-
- 原创 | 系列(十一):请不要对我说:面包会有的
- 系列十一| 请不要对我说 :面包会有的 ——私募基金刑事风险篇(十一) 一项私募基金的成立需要多方的组织和参与,除了私募基金管理人外,最重要的参与方就是私募投资人了。 任何商业投资行为,都是需要投
- 肖飒lawyer
-
-
-
- 中国政府债券将于明年纳入摩根大通旗舰指数,或为债券市场每月引资30亿美元
- 当地时间9月4日,摩根大通宣布,以⼈民币计价的高流动性中国政府债券将于2020年2⽉28日起被纳入摩根大通旗舰全球新兴市场政府债券指数系列(Government Bond Index-Emerging
- 国际金融报
-
-
-
- 刚刚,阿里一炮双响:20亿美元全资收购网易考拉,7亿美元领投网易云音乐
- “首席投资官”旗下新媒体平台 每日分享PE/VC行业最权威新闻资讯 来源:中国私募股权投资 (ID:PE-China) 作者:bob 配图来源:pixabay 私募君9月6日消息 阿里巴巴的财大气
- 中国私募股权投资
-
-
-
- 奇葩市场都是奇葩事!
- 声明:本人没有微信群、QQ群。盘中交流请看公众号菜单左栏! 我们的A股市场是“只有你想不到,没有它做不到”,再奇葩的事情都有可能发生。在网上看到有人搜集了一些发生在A股里奇葩的事情,觉得好玩,分享给
- 扫地僧读缠札记
-
-
-
- 魏宁海9月6日早评:紧抓主线,不要轻易放手
- 盘面分析 周四上证指数小幅高开,随后一路震荡走高,上午就拿下了3000点的整数关口,但是到了下午风云突变,香港恒生指数突然大幅跳水,导致上证指数也跟随着一起回落最终留下带长上引线的阳线。注意一点这里成
- 魏宁海
-
-
-
- 9月6日早报-昨日午后跳水原因找到了
- 昨日早盘,大盘再次出现拉升,主要利好是开盘前,中美互通电话,确定10月初在华盛顿继续贸易磋商利好刺激,这是主要原因,并非市场疯传的降准刺激,因为降准消息是周三盘后出来的,当天夜盘A50、港股、RMB等
- 金融资讯与财经信息
-
-
-
- 重庆的“一号工程”亮相:科学城,搏未来!
- 千呼万唤当中,重庆科学城轮廓初显。 年9月4日,重庆高新区微讯刊登的《科学城布局初露端倪,这个行业或将成为启动新引擎的“金钥匙”》一文透露,“两山、两江之间”的重庆西部槽谷地带,即是科学城。 “两山”
- 黄桷树财经
-
-
-
- 明年财政政策还有多少空间?
- 债市启明系列20190906.m4a - 来自明晰笔谈 - / 08:55 明债券研究团队 报告要点 在大规模减税降费和严控房地产的政策背景下,财政收入增速出现明显放缓,市场担心未来财政的逆周期调节可
- 明晰笔谈
-
-
-
- 昔日的“圣草”是如何发展成“毒草”的?
- 全文共1851字 | 阅读需3分钟 本文系中国国家历史原创文章,转载请联系小编微信号zggjls01,欢迎转发到朋友圈! 我们今天所接触的烟草并非中国本土烟草。 提及烟草,现代人无不对之忌惮三
- 中国国家历史
-



朋友会在“发现-看一看”看到你“在看”的内容