- 二维材料及其异质结的声子物理研究
- 来源:中国物理学会期刊网
作者:林妙玲1,2 孟达1,2 从鑫1,2 谭平恒1,2,3
(1 中国科学院半导体研究所)
(2 中国科学院大学材料科学与光电技术学院)
(3 北京量子信息科学研究院)
摘要 声子是固体最重要的元激发之一,是理解材料摩尔热容、德拜温度以及热膨胀系数等热力学性质的基础,同时电声子相互作用也决定了固体的电导和超导等特性。拉曼光谱是表征固体声子物理的重要实验手段,不仅能表征材料的结构和质量,还能提供材料声子性质、电子能带结构、电声耦合等信息。文章将拉曼光谱应用于二维材料及其范德瓦尔斯异质结的声子物理研究。先简单介绍二维材料的层间振动声子模式和层内振动声子模式,其中层间振动声子模式的频率可用线性链模型来计算,而强度则可用层间键极化率模型来解释;同类层内振动声子模式的Davydov劈裂峰之间的频率差异可用范德瓦尔斯模型拟合。随后,将这些模型推广到二维范德瓦尔斯异质结中,以转角多层石墨烯、MoS2/石墨烯和hBN/WS2为例介绍了范德瓦尔斯异质结的声子谱,阐述如何应用线性链模型和经典键极化率模型计算层间振动模的频率和强度,并由此给出二维范德瓦尔斯异质结的界面耦合强度和各层间呼吸模的电声耦合强度等重要参数。
关键词 声子,拉曼光谱,二维材料,范德瓦尔斯异质结,层间键极化率模型,层间耦合
2004 年,A. K. Geim 和K. S. Novoselov 等人利用简单的机械剥离法[1]成功制备了石墨烯,发现了真正二维材料的存在。石墨烯的发现掀起了二维材料的研究热潮[2—4],是凝聚态物理的新兴研究材料之一。2018 年,N. Mounet 等人利用高通计算方法[5]发现了5619 种层状材料,其中1825 种易剥离成单层或者少层二维材料,包含了零带隙的狄拉克材料[1],带隙位于可见光波段的过渡金属硫族化合物(TMD)[6]和黑磷[7],宽带隙的六角氮化硼(hBN)[8],以及具有奇特电子能带结构的硅、锗、硼烯等[9—11]。这些二维材料的性质受到二维材料层数、层间耦合和堆垛方式的调制,如TMD体材料的间接带隙在单层中将转变为直接带隙[6],而黑磷的带隙随着层数的减小将从~0.3 eV过渡到~2 eV[12]。将不同二维材料堆垛起来可形成二维范德瓦尔斯异质结。相对于传统的异质结,二维范德瓦尔斯异质结不需要考虑组分间晶格和晶向的失配问题。二维范德瓦尔斯异质结既可以由同种材料通过转角堆垛形成(同质结)[13—15],称为转角多层二维材料,也可以是两种或两种以上的不同材料堆垛而成[3,4,16,17]。范德瓦尔斯异质结中组分的选择、层数和界面两组分间的转角等参数变化为调控其电子、声子和激子等量子态的行为提供了更多的自由度,如在转角双层石墨烯中,电子受到莫尔超晶格的调制而出现莫尔布洛赫能带[18];hBN/石墨烯异质结发现了次级狄拉克点[16]。这些有趣的物理现象将影响其输运和光电学性质,对其在纳米光电子学领域的应用有重要意义[3, 19]。由于直接带隙的单层TMD材料与可见光可强烈相互作用,因此基于TMD材料的范德瓦尔斯异质结备受关注[20—24],研究中也的确发现了诸多新奇的物理性质,如转角双层MoS2中发现了受莫尔超晶格调制的莫尔声子[25];TMD范德瓦尔斯异质结的层间激子也受到界面莫尔超晶格周期势场的调制而呈现莫尔激子的特性[22],在异质结中形成周期分布的量子发射点阵;在hBN/WSe2异质结中,WSe2的A激子能与hBN的平面外光学声子发生层间电声耦合,使hBN 原本拉曼非活性的声子模式在激发光能量靠近WSe2的A 激子时共振增强[20,21]。
二维范德瓦尔斯异质结的种类繁多,各参数对其电子、声子、激子、自旋等的调控作用通常可利用光学方法加以鉴定,其中拉曼光谱是表征声子振动模式的一种快速、准确且无损的方法[26—28]。拉曼光谱源于拉曼散射,是入射光子与材料元激发发生非弹性相互作用的结果,散射光子与入射光子之间的能量差异(或称为拉曼频移)为元激发的能量。拉曼散射一般对应的是光子与晶体光学波的耦合,即能量差异对应的是光学声子的能量。散射中既要满足能量守恒也要满足动量守恒。由于入射光的波矢k 远小于布里渊区的尺寸,因此一阶拉曼散射中通常仅能探测到布里渊区中心的声子(即声子波矢q~0 )。
拉曼散射通常可以采用两种理论加以阐述:经典键极化率模型(也称为经典偶极矩辐射理论)和量子力学跃迁理论[29,30]。经典模型中认为散射光的发射源于入射光所引起的分子(原子)的极化,相应声子模的拉曼散射强度与极化率( χ) 的变化量相关:I ∝ ω4l|ês∙∂χ/∂Q∙êi|2,其中ωl 为入射光频率,êi 和ês 分别为入射光和散射光的偏振方向,∂χ/∂Q即拉曼张量,它给出了一阶拉曼散射的选择定则,只有不可约表示为坐标二次函数的声子振动模才是拉曼活性的;另外,声子振动模式的拉曼散射强度取决于振动模式对应拉曼张量分量的大小以及具体的偏振配置。由于通常情况下难以确定拉曼张量分量的数值大小,因此无法精确计算具体拉曼模式的拉曼强度。而量子力学跃迁理论则是通过散射几率来计算拉曼散射强度[31],需要知道能带间跃迁几率以及电声耦合强度等基本参数。拉曼光谱能提供材料声子性质、能带结构和电子—声子耦合等重要信息,可准确表征材料厚度、均匀性、晶体取向、堆垛方式、掺杂、热导和应变等,在二维材料及其异质结的声子物理研究中具有广泛的应用,为深入理解它们的物理性质和量子现象提供了思路,对其在纳米器件方面的应用具有重要意义。
本文将简单介绍关于二维材料及其异质结声子物理方面的研究进展。首先将介绍多层二维材料的声子振动模式,主要包含低波数(5—100 cm-1)范围的层间声子振动模式以及高波数(>100 cm-1)的层内声子振动模式,其中层间声子振动模式的频率可由线性链模型来完美解释,各模式的相对强度可利用层间键极化率模型计算,同类层内声子振动模式的Davydov 劈裂峰之间的频率差异可用范德瓦尔斯模型加以解释。随后,以转角多层石墨烯、MoS2/石墨烯和hBN/WS2为例逐步展开介绍范德瓦尔斯异质结的声子振动光谱,将线性链模型、层间键极化率模型推广到范德瓦尔斯异质结中,定量计算了范德瓦尔斯异质结层间声子振动模式的频率和强度,并确定了二维范德瓦尔斯异质结的层间耦合力常数和各层间呼吸模的相对电声耦合强度。
2.1 二维材料的低频层间振动声子模
二维材料的层内原子通过共价键结合,层间为微弱的范德瓦尔斯结合,因此在多层二维材料的拉曼光谱中,除了来自层内原子相对振动的高波数层内声子振动模式外,还存在层间声子振动模式。层间振动模式是二维材料的特征峰,根据振动方式平行或者垂直于二维材料平面,可将层间振动模式分为层间剪切(S)模和层间呼吸(LB)模。层间振动模式的频率依赖于层间耦合力常数和层数[14,26,27,32—37],可用线性链模型求解[14, 32—34],其中S 模最开始是在多层石墨烯中被发现的,可用于表征层间耦合(Coupling) 力常数, 因此在多层石墨烯中S 模通常也被标记为C模,而在非石墨烯二维材料中层间剪切模直接简称为S模。S模和LB模的强度依赖于二维材料的具体堆垛方式,可用层间键极化率模型计算[37—39]。由于层间范德瓦尔斯耦合力常数比较小,因此层间振动模式通常出现在超低波数(5—100 cm-1)区域。实验上可通过三光栅光谱仪或者集成多个布拉格体光栅陷玻片的单光栅光谱仪[28,32,37]来实现对超低波数声子模式的测量。
2.1.1 线性链模型
二维材料层间振动声子模最早是在多层石墨烯中观察到的[32],尽管多层石墨烯的C模强度非常弱,通常只有G模的1/50。图1(a),(b)给出了N层(NL)的AB堆垛石墨烯(NLG)在C模和G模区域的拉曼光谱。图1(c),(d)给出了2—4 层石墨烯中C 模和LB 模的频率和振动位移矢量以及它们的拉曼活性,这些振动模式的拉曼活性取决于相应多层石墨烯的对称性及其振动的具体形式。在NLG中,来源于层内振动的G模频率基本上不随层数的改变而改变,而在低波数范围内观察到的C模频率显著依赖于层数N[32]。由于AB堆垛多层石墨烯(AB-MLG)的LB模电声子相互作用很弱且体石墨LB 模的非拉曼活性,在AB-MLG 的拉曼光谱中观察不到LB模。
图1 (a)和(b)为2—8 层AB堆垛的N层石墨烯(NLG)以及体材料在C模和G模区域的拉曼光谱[32];(c)和(d)分别为2—4 层AB-MLG中C模和LB模的振动方式、频率、对称性、拉曼活性。频率都是根据线性链模式计算得到的,箭头表示振动的方向而箭头的长短表示振动位移矢量的大小。R表示拉曼活性,IR 表示红外活性[27]
由于二维材料的S模和LB模对应的各层内原子振动均沿同一方向且大小相位相等,可等效为一个球[14,32—34]。层数为N的各向同性二维材料(NL-2DMs)可看成为具有N 个球的有限长度线性链,共有N-1 个简并的S 模和N-1 个LB 模,层间相互作用分解为平面内的剪切力常数( α∥ ) 和平面外的层间呼吸耦合力常数( α⊥ ),这就是线性链模型。当仅考虑最近邻相互作用( α∥0 和α⊥0 )时,S 模和LB 模的频率及其对应的位移矢量可通过求解线性方程组得到,
其中ui 为第i 个声子模的本征位移矢量,对应频率为ωi , μ 为单层二维材料单位面积内原子的质量, c = 3.0 × 1010 cm/s 为光速, D 为S 模或者LB模的力常数矩阵。求解方程组得到S 模和LB 模的频率为
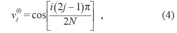
其中i = 1,2,⋯,N - 1,频率最高的模式记为SN, 1和LBN, 1,而频率最低的模式记为SN, N-1和LBN, N-1,式中1/πc√(α∥0 /μ) = ω(Sbulk) 和1/πc√(α⊥0 /μ) = ω(LBbulk) 为对应体材料的频率。由于S模和LB模的频率直接与二维材料的层间耦合力常数相联系,因此可以通过拉曼光谱探测S模和LB模的频率来实验确定相应二维材料的层间耦合力常数。若将两层二维材料的S2, 1 和LB2, 1 归一到1, 则体材料对应的ω(Sbulk) 和ω(LBbulk) 频率为√2 ,如图2(a),(b)所示。当中显示出N层二维材料的S模和LB模对层数具有很强的依赖性。根据(1)公式还可以计算出第i个S模或LB模的本征位移矢量ν(i)j 为
其中j 表示第j 层。常见二维材料的晶格对称性以及S 模和LB的拉曼活性可以在参考文献[28]中找到,但各个层间振动声子模式在拉曼光谱中是否可见还依赖于其拉曼张量和电声耦合强度[14,23,28]。图2(c)给出了N 层MoS2(NL-MoS2)的低频拉曼光谱。在NL-MoS2中不仅能观察到多个S 模,还能探测到多个LB模[33],两者频率和半高宽(FWHM)均依赖于层数[33]。实验所测频率与线性链模型吻合很好,如图2(a),(b)中的红色正方形和蓝色圆圈所示。
图2 层数为N的二维材料的(a)S 模和(b)LB 模的归一化频率[35],将两层二维材料的S模和LB模频率分别归一化到1;(c)2H堆垛的1—18 层MoS2以及体材料在S模和LB模区域的拉曼光谱[33],实验所测得的相应归一化频率用红色正方形和蓝色圆圈分别标记在(a)和(b)中
2.1.2 层间键极化率模型
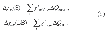
根据经典的键极化率模型[37],声子模的拉曼强度与极化率张量χ 有关:
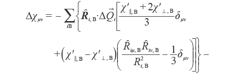
其中êi 和ês 分别为入射光和散射光的偏振方向,ωl 为入射激光的频率, χμν 为χ 的张量分量, μ,ν为坐标分量x,y,z , Δχμν 就是相应声子模的拉曼张量分量,可以根据极化率张量计算得到[37,40]:
其中[∂χμν/∂Qjγ]0是极化率张量χ 对简正坐标偏离平衡位置的导数, ΔQjγ 为第j 个原子在方向γ 的位移矢量,在二维材料中可根据线性链模型直接求得[14,32—34]。由此可看出,某声子模式对应拉曼张量是该模式振动所导致的系统极化率的改变量。根据经典键极化率模型[37],系统总极化率可近似为各个键极化率之和:
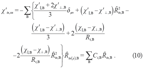
其中B用来标记极化键(连接原子i ), Ri, B 为连接i 原子及其相邻原子i′ 的键对应的矢量, Riμ, B 为该键的μ 分量,而Ri, B 为该键的长度, χ∥, B 和χ⊥, B 分别为该键沿着平行和垂直方向的极化率大小。由此可得拉曼张量表达式为
其中R ̂i, B = Ri, B/Ri, B 是键的单位矢量, α′∥, B 和α′⊥, B是键极化率对键长的径向导数。对于层间S 模和LB 模, 分别只有沿x(y)和z 方向的分量,因此,可对以上公式进行简化。另外,对于此类层间振动模,层内原子间无相对振动,所以只有层间键才对极化率变化量有贡献。因此,可将每一原子层看为一个整体,公式(7)和(8)中i 表示第i 个原子层,仅考虑i 层与相邻层i′ 层间键的贡献。对于S模和LB模,分别有
实验一般采用背散射平行偏振配置测试S模和LB模, 若入射光和散射光偏振均沿x 方向, 则
LB 模对应的极化率导数χ′iz, xx 与上式类似,其中Ci, B 与连接i 和i′ 层极化键的性质(如层间键长度、各方向的分量、层间键极化率及其径向导数等)相关。对于某一种确定的二维材料, Ci, B 为常数。这里将S 模和LB模对应的Ci, B 分别记为C和C* ,则,因此二维材料中每一层的层间键极化率导数的大小和该层原子与相邻层的最近邻原子之间范德瓦尔斯键的单位矢量之和成正比。对光学声子模来说,系统总体的质心是不动的,根据公式(9)以及平移对称性,可知
。关于层间键极化率模型更系统的结果可以参考已发表文献[23,37—39]。
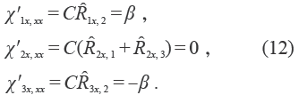
下面将以不同堆垛方式的石墨烯为例[38],简单阐述层间键极化率在计算层间振动模式相对强度的应用。多层石墨烯通常有AB 和ABC两种堆垛方式,如图3(a),(b)所示。对于图3(a)中AB-3LG,设层间键相对于垂直方向的夹角为θ ,层1 只与层2 具有层间键,则单位矢量为R ̂1, 2 = (sin θ,0, cos θ) ,层2 与层1 和层3 均有层间键,分别为R ̂2, 1 = (-sin θ,0, - cos θ), R ̂2, 3 =(-sin θ,0, cos θ) ,而层3 相对于层2 的层间键单位矢量为R ̂3, 2 = (sin θ,0, - cos θ) 。对于S 模来说,有
图3 (a)AB-3LG和(b)ABC-3LG的堆垛方式及通过层间键极化率模型计算的各层S模强度;(c)AB-3LG和ABC-3LG的LB模强度[38]
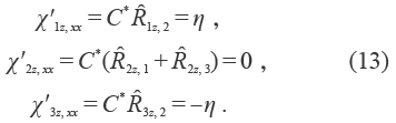
另外,对于ABC-3LG来说,R ̂1, 2 = (sin θ, 0, cos θ),R ̂2, 1 = (-sin θ, 0, -cos θ) , R ̂2, 3 = (sin θ, 0, cos θ) ,R ̂3, 2 = (-sin θ,0, cos θ) ,则
根据线性链模型, S3, 1 模的位移矢量为1/√1.5(0.5,1,0.5),S3, 2模的位移矢量为1/√2(1,0, - 1),因此Δχxx (AB,S3, 1) = √6 β,Δχxx (AB,S3, 2) = 0,而Δχxx (ABC,S3, 1) = 0,Δχxx (ABC,S3, 2 ) = √2 β 。根据I ∝ |Δχxx|2 可求得各模式的相对拉曼强度。该方法可推广到其他AB和ABC堆垛少层石墨烯中S模相对强度的计算,结果如图3(a),(b)所示。该计算结果与实验结果吻合得很好[32, 39, 41]。类似的,可求出两种堆垛方式LB 模的相对强度。对于AB和ABC堆垛的3LG均有
因此, Δχxx (LB ) 3, 1 = 0 , Δχxx (LB ) 3, 2 = 2 η ,如图3(c)所示,图中还显示了其他层数相应LB 模的相对强度。该层间键极化率模型可以期望用于定量计算其他少层二维材料的S 模和LB 模的相对强度[38]。
2.2 二维材料的高频层内振动声子模
单层二维材料的一个高频层内振动声子模在N层二维材料中将劈裂为N个相应的高频模,发生Davydov 劈裂现象。由于层间存在范德瓦尔斯力,层间最近邻原子间沿相同或相反方向运动的两个振动模的频率稍有差异,如图4(a)所示。这种不同Davydov 劈裂峰之间的频率差异反映了二维材料范德瓦尔斯层间相互作用的大小,因此多层二维材料的层内振动声子模的频率也依赖于层间耦合和层数。假设单层二维材料层内振动声子模频率为ω0 ,在相应的N层二维材料中,层间最近邻原子间沿相同方向运动的振动模式频率也为ω0 。而一旦高频层内振动声子模的层间最近邻原子间存在沿相反方向的振动位移,这时层间最近邻原子间存在范德瓦尔斯相互作用,也存在对应的层间范德瓦尔斯耦合振动模,即相应的S 模或LB 模。这时S 模或LB 模的频率就是层间范德瓦尔斯相互作用的耦合频率Δω 。这样,在一级近似下即可建立范德瓦尔斯模型[42],该层间范德瓦尔斯相互作用导致对应的高频层内振动声子模的频率为ωc = √(ω02 + Δω2)。对于MoTe2 中的沿面外方向振动的类A′1模, Δω 对应的是LB 模的频率(图4(b))。以4 层MoTe2 为例,类A′1 模和LB 模的振动方式如图4(c)所示,可将层间振动方式相同的类A′1 模和LB模归为一组。其中, A2u(IR2) 层间无耦合,为频率最低的一支。对于每一层数MoTe2,最高频率的类A′1 模为拉曼活性,在拉曼光谱中始终可见。这里以该模式频率作为基准,根据范德瓦尔斯模型可计算其他各Davydov 劈裂峰的频率,结果如图4(d)所示,计算结果(实心正方形和菱形)与实验结果(空心正方形和菱形)比较接近。这种Davydov 劈裂现象也会出现在MoTe2的平面内振动中,也可推广到其他二维材料中[43,44]。
图4 (a)633 nm激光激发下,1—6 层MoTe2的A′1 ( A1g2)模。拉曼光谱以各层最强的拉曼峰归一化;(b)1—6 层MoTe2的超低频拉曼光谱;(c)4 层MoTe2中Davydov 劈裂的范德瓦尔斯模型示意图,N(ip)指的是同向振动的界面数;(d)基于实验测得Davydov 劈裂最高一支频率,即类A′1 模(空心圆圈),并根据范德瓦尔斯模型计算的3—6 层中各Davydov组分(实心正方形和菱形)峰位,其中空心正方形或者菱形对应的是每一Davydov组分的实验频率。1—2 层类A′1 模实验测得的频率也列于图中[42]
研究二维材料声子谱的方法和模型等可进一步推广到二维范德瓦尔斯异质结。这里以转角多层石墨烯[14,27,34]、MoS2/石墨烯[24]和hBN/WS2[23]等异质结的声子谱研究为例,介绍如何利用以上简单的模型研究二维范德瓦尔斯异质结的层间耦合、界面耦合、电声耦合等重要性质。
3.1 转角多层石墨烯
将同种类型二维材料以范德瓦尔斯耦合堆垛在一起就形成了转角二维材料,其各组分(或子系统)的层数可以相同,也可以不同。转角二维材料是较为简单的范德瓦尔斯异质结,可以通过机械剥离过程中随机折叠、化学气相沉积直接生长或者转移等方式制备而成[14,25,34,45]。这里以转角多层石墨烯为例介绍转角二维材料拉曼光谱的特点。将m层石墨烯转移到n 层石墨烯上方即可形成转角石墨烯系统,记为t(m+n)LG,总层数为N=m+n。为简单起见,我们假设m和n 大于1 时均为AB堆垛多层石墨烯。相对于AB堆垛多层石墨烯来说,转角多层石墨烯的对称性较低[14,34]。根据对称性分析,将会有更多拉曼模可以被探测到。另外,转角多层石墨烯中还存在范霍夫奇点[14,34]。当激发光能量靠近范霍夫奇点时,拉曼模式将显著增强[14,34,46],有利于观察到更多的声子振动模式。图5(a)给出了t(1+3)LG 和t(2+2)LG 在C、LB和G模范围内的拉曼光谱。根据偏振拉曼光谱可对C模和LB模进行指认:C模在入射光和散射光平行和交叉偏振的情况下均可探测到,而LB 模只能在平行偏振下探测到。在t(m+n)LG中,由于转角堆垛导致界面相邻两层的原子发生错位而无法形成整体的回复力[34,37],所以剪切耦合力常数仅为AB堆垛多层石墨烯的20%左右。因此,在t(m+n)LG系统中能观察到AB-mLG和AB-nLG的C模。但转角堆垛对层间呼吸耦合力常数影响不大, 其数值为AB 堆垛多层石墨烯的90%,因此能观察到整个t(m + n)LG 系统的LB模。图5(b) 给出了实验测得的LB模频率随系统总层数N 的变化规律以及只考虑最近邻相互作用线性链模型(LCM) 的计算结果,发现理论所计算LBN, N-2模(五角星)的频率较实验值( 蓝色叉“×”)低。当考虑次近邻相互作用后的线性链模型(2LCM)后,理论计算结果(菱形)与实验结果吻合很好。以上分析对在转角多层TMD同样适用。当转角远离0°和60°时,能观察到子系统的S 模和总系统的LB 模[25]。计算转角多层TMD 材料的LB 模频率时只需要考虑最近邻相互作用即可。
图5 (a) t(2+2)LG 以及平行和交叉偏振下t(1+3)LG 在C、LB模以及G模频率范围内的拉曼光谱[31];(b)根据最近邻(LCM)和次近邻(2LCM)线性链模型计算的LB模频率,分别用灰色五角星以及红色菱形表示,蓝色叉“×”为实验测得LB模频率[27]
在t(m+n)LG 的G模附近还可能观察到所谓的R 模(图5(a))和R′模,这是由t(m+n)LG 界面处莫尔超晶格的声子折叠效应所引起的[25],R 模和R′模分别是单层石墨烯布里渊区中波矢为超晶格倒易空间基矢处的TO和LO 声子模折叠到布里渊区中心后的折叠声子模。最初,很多课题组认为R和R′模是由于转角多层石墨烯中丰富的共振效应所引起的[47, 48]。后来我们在转角双层MoS2 中也发现了类似的声子模[25],并引入莫尔声子[25]的概念来描述这种范德瓦尔斯异质结中受到莫尔超晶格周期势场调制的折叠声子。但到目前为止,仅在转角多层二维材料中观察到了莫尔声子对应的声子模式,仍然没有在范德瓦尔斯异质结中观察到莫尔声子的相关报道。
3.2 MoS2/石墨烯的异质结
两种不同的二维材料按范德瓦尔斯耦合堆垛在一起便可形成范德瓦尔斯异质结,如hBN/WS2[23]和MoS2/石墨烯[24]等。范德瓦尔斯异质结中多样的组分(或子系统)选择,各组分的层数以及组分间界面耦合力常数的调控使其具有更多的物性操控空间。范德瓦尔斯异质结中的界面耦合是保证相关器件应用和各组分间量子态相互耦合作用的前提,通常可通过其超低波数的层间振动声子模来表征。
图6(a)给出了双层MoS2(2LM)和n 层石墨烯(nLG)所组成的2LM/nLG异质结的超低频拉曼光谱[24]。由于MoS2和石墨烯间存在较大的晶格失配而无法形成整体的剪切回复力,因此2LM/nLG的S 模局域在各组分中。由于nLG 的S 模较弱,因此在异质结中仅能观察到2LM 所对应的S2, 1 模。类似于转角多层石墨烯,2LM/nLG 的LB 声子模频率依赖于异质结的总层数,可用线性链模型计算,如图6(b)所示。假设MoS2和石墨烯界面处的呼吸耦合力常数为α⊥0 (I) ,根据2LM/nLG中LB声子模频率可拟合得到α⊥0 (I) = 60 × 1018 Nm-3,与MoS2的层间呼吸耦合力常数( α⊥0 (M) = 84 × 1018 Nm-3)相当。根据所拟合的界面呼吸耦合力常数可计算得到MoS2/石墨烯异质结的LB 模频率,如图6(c)所示,与实验结果吻合很好。但在1LM/nLG异质结中,没有观察到相应的LB模。
图6 (a)双层MoS2/n 层石墨烯(2LM/nLG)在S和LB模范围的拉曼光谱;(b)2LM/3LG中LB模对应的线性链模型;(c)mLM/nLG中LBN, N-1的频率随石墨烯层数n 的变化规律及实验测得的LB模频率[24]
对于MoS2/石墨烯异质结,其高频层内振动声子模为MoS2和石墨烯两种组分的层内振动声子模的简单叠加。但在其他基于TMD的范德瓦尔斯异质结中,由于层间电声耦合,可能出现新的拉曼模式。F. Wang 和X. Xu 组先后发现在hBN/WSe2异质结中,当激发光能量靠近WSe2的A激子能量时,hBN原本非拉曼活性的平面外光学模将共振增强[20,21]。他们初步认为这是由于层间或者材料间的电声耦合所引起的,但具体的耦合机制仍然无法确定。
3.3 hBN/WS2异质结
图7(a)给出了采用靠近WS2的C 激子能量的激光所激发的由三层WS2(3LW) 和n 层hBN(nL-hBN) 所组成的3LW/nL-hBN 异质结的超低波数拉曼光谱[23]。与MoS2/石墨烯异质结类似,hBN/WS2异质结的S模局域在WS2和nL-hBN子系统中,由于hBN的S 模非常弱,因此在hBN/WS2异质结中,仅能观察到3LW对应的S 模。但是,在hBN/WS2异质结可以观察到一系列LB 模,其频率可用线性链模型(图7(a)插图)完美解释。研究发现,当LB模频率靠近3LW的LB3, 2模时,异质结相应的LB模强度得到极大的增强。
图7 (a)3LW、3LW/32L-hBN、3LW/44L-hBN、3LW/224L-hBN的超低频拉曼光谱,插图是nL-hBN/3LW异质结中LB模的线性链模型;(b)3LW的层间键极化率模型示意图,层间键用B表示,键与z 方向的夹角为θ ;(c)3LW中各层极化率微分大小;(d)nL-hBN/3LW 异质结各层极化率微分大小;(e)39L-hBN/3LW的超低频拉曼光谱;(f)利用层间键极化率模型计算的39L-hBN/3LW异质结中各LB声子模的相对强度[23]
由前面的介绍可知,层间键极化率模型可用于计算少层二维材料中S 模和LB模的相对强度,2H堆垛的3LW中各层间极化键单位矢量(图7(b))与AB-3LG 类似, 有R ̂1, 2 = (sin θ,0, cos θ) ,R ̂2, 1 = -R ̂1, 2,R ̂2, 3 = ( -sin θ,0, cos θ ),R ̂3, 2 = -R ̂2, 3,因此χ′1z, xx = C*R ̂1z, 2 = η,χ′2z, xx = C*(R ̂2z, 1 +R ̂2z, 3) = 0,χ′3z, xx = C*R ̂3z, 2 = -η 。图7(c)显示了3LW对应于LB振动的各层极化率的变化。为了计算二维范德瓦尔斯异质结各LB 模的拉曼强度,我们将层间键极化率模型推广到了范德瓦尔斯异质结[23]。以nL-hBN/3LW为例,根据前面分析可知,在计算系统极化率变化量时, 仅需考虑hBN 组分的顶层、3LW组分的底层以及界面处相邻的hBN和WS2 层的层间键极化率对z 方向位移矢量的导数即可,其中hBN 组分的顶层和第二层hBN的层间键极化率导数为hBN 本身的层间键极化率导数,记为χ′1 (BN)= η (BN),第三层WS2和第二层WS2的层间键极化率导数为χ′3 (W)= -η (W),界面处hBN和WS2层的极化率导数分别为χ′n (BN)= -η(BN)+ η(I), χ′1 (W)= -η (I)+ η(W),如图7(d)所示。因此,nL-hBN/3LW异质结的极化率改变量为
其中第一项来源于WS2组分的极化率变化量,第二项为hBN组分的极化率变化量,第三项为界面处的极化率变化量, ΔQiz 为异质结中各LB 模对应各层的位置矢量,可由线性链模型计算得到。根据39L-hBN/3LW中各LB 声子模的相对拉曼强度(图7(e))及I ∝ |Δχ2| ,可拟合得到η(BN)/η(W) =0.001, η(I)/η(W) =0.3。这说明公式(14)中第一项在hBN/WS2异质结LB 声子的拉曼强度中起主导作用,因此异质结LB 声子振动形式越接近于3LW中拉曼活性的LB3, 2模的振动形式,则拉曼强度越大。当hBN/3LW异质结中LB声子频率大于50 cm-1时,3LW组分中各层基本上没有振动,这些模式所导致的系统极化率改变量基本为零(图7(e)),相应的拉曼强度接近于零,与实验观察的结果是一致的。由于入射光子能量远高于声子能量,根据量子跃迁理论可知这些LB 声子模的相对强度是由其电声耦合强度所决定的,因此,这里计算的各LB 声子模的极化率改变量实际上反映的就是其对应的电声耦合强度。
此外,该模型还可以推广到其他的范德瓦尔斯异质结。例如,在2LM/nLG 异质结中,由于MoS2组分的极化率改变量在异质结LB 声子模式的拉曼强度中起主导作用,因此当异质结LB 声子模振动形式接近于2LM的LB2, 1模时(频率靠近LB2, 1模),强度得到极大增强,与实验所观察结果[24]一致。在二维范德瓦尔斯异质结中,各声子模式和各激子对应电子态的耦合强度与激子、声子的对称性、波函数分布范围和界面耦合等参数息息相关,通过拉曼光谱研究二维范德瓦尔斯异质结中的电声耦合强度有利于对范德瓦尔斯异质结光电学性质的调控,将扩展其在纳米尺度光电子器件等的应用。
本文系统介绍了二维材料及其异质结声子谱的拉曼光谱研究。首先介绍了如何应用线性链模型和层间键极化率模型解释二维材料中层间振动声子模的频率和相应拉曼峰的相对强度,并建立范德瓦尔斯模型计算了二维材料中层内声子模各Davydov 劈裂峰的频率差异数值。随后介绍了转角多层石墨烯、MoS2/石墨烯和hBN/WS2异质结的声子谱。我们将线性链模型和层间极化率模型推广到二维范德瓦尔斯异质结中,并完美解释了二维范德瓦尔斯异质结层间振动模式的频率和强度,并据此得到其各组分的层间耦合力常数、界面耦合力常数和各LB 声子模对应的电声耦合强度等。二维材料及其异质结的声子物理研究对二维范德瓦尔斯异质结的光学性质研究及其在器件中的应用具有重要意义。
参考文献
[1] Novoselov K S,Geim A K,Morozov S V et al. Science,2004,306:666
[2] Fiori G,Bonaccorso F,lannaccone G et al. Nature Nanotechnol.,2014,9:768
[3] Novoselov K S,Mishchenko A,Carvalho A et al. Science,2016,353:aac9439
[4] Liu Y,Huang Y,Duan X. Nature,2019,567:323
[5] Mounet N,Gibertini M,Schwaller P et al. Nature Nanotechnol.,2018,13:246
[6] Mak K F,Lee C,Hone J et al. Phys. Rev. Lett.,2010,105:136805
[7] Wang X,Jone A M,Seyler K L et al. Nature Nanotechnol.,2015,10:517
[8] Cassabois G,Valvin P,Gil B. Nature Photon.,2016,10:262
[9] Feng B,Zhang J,Zhong Q et al. Nature Chem.,2016,8:563
[10] Sheng S,Wu J,Cong X et al. Phys. Rev. Lett.,2017,119:196803
[11] Gou J,Zhong Q,Sheng S et al. 2D Mater.,2016,3:045005
[12] Qiao J,Kong X,Hu Z X et al. Nature Commun.,2014,5:4475
[13] Li G,Luican A,Dos S et al. Nature Phys.,2010,6:109
[14]Wu J B,Zhang X,Mari J et al. Nature Commun.,2014,5:5309
[15] Liu K,Zhang L,Cao T et al. Nature Commun.,2014,5:4966
[16] Yankowitz M,Xue J,Cormode D et al. Nature Phys.,2012,8:382
[17] Rivera P,Seyler K L,Yu H et al. Science,2016,351:688
[18] Bistrizer R,MacDonald A H. Proc. Natl. Acad. Sci. U. S. A.,2011,108:12233
[19] Huang M,Li S,Zhang Z et al. Nature Nanotechnol.,2017,12:1148
[20] Jin C,Kim J,Suh J et al. Nature Phys.,2016,13:127
[21] Chow C M,Yu H,Jones AM et al. Nano Lett.,2017,17:1194
[22] Yu H,Liu G B,Tang J et al. Sci. Adv.,2017,3:e1701696
[23] Lin M L,Zhou Y,Wu J B et al. Nature Commun.,2019,10:2419
[24] Li H,Wu J B,Ran F et al. ACS Nano,2017,11:11714
[25] Lin M L,Tan Q H,Wu J B et al. ACS Nano,2018,12:8770
[26] Zhang X,Qiao X F,Shi W et al. Chem. Soc. Rev.,2015,44:2757
[27]Wu J B,Lin M L,Cong X et al. Chem. Soc. Rev.,2018,47:1822
[28] Tan PH(Eds.). Raman spectroscopy of two-dimensional materials. Springer Nature Singapore Pte Ltd.,2019
[29] 张明生. 激光光散射谱学. 北京:科学出版社,2008
[30] KleinMV. Light scattering in solids I,volume 8. Springer-Verlag,1983
[31] Fox M. Optical properties of solids. Oxford University Press,2001
[32] Tan P H,HanWP,ZhaoWJ et al. Nature Mater.,2012,11:294
[33] Zhang X,HanWP,Wu J B et al. Phys. Rev. B,2013,87:115413
[34]Wu J B,Hu Z X,Zhang X et al. ACS Nano,2015,9:7440
[35] Zhang X,Tan Q H,Wu J B et al. Nanoscale,2016,8:6345
[36] Li X L,Han W P,Wu J B et al. Adv. Funct. Mater.,2017,27:1604468
[37] Liang L,Zhang J,Sumpter B G et al. ACS Nano,2017,11:11777
[38] Liang L,Puretzky A A,Sumpter B G et al. Nanoscale,2017,9:15340
[39] Luo X,Lu X,Cong C et al. Sci. Rep.,2015,5:14565
[40] Liang L,Meunier V. Nanoscale,2014,6:5394
[41] Lui C H,Ye Z,Keiser C et al. Appl. Phys. Lett.,2015,106:041904
[42] Song Q J,Tan Q H,Zhang X et al. Phys. Rev. B,2016,93:115409
[43] Tan Q H,Sun Y J,Liu X L et al. 2D Mater.,2017,04:031007
[44] Tan Q H,Zhang X,Luo X D et al. J. Semicond.,2017,38:031006
[45] Lin M L,Chen T,LuWet al. J. Raman Spectrosc.,2018,49:46
[46] Cong C,Yu T. Nature Commun. 2014,5:4709
[47] Carozo V,Almeida C M,Ferreira E H M et al. Nano Lett.,2011,11:4527
[48] Campos-Delgado J,Cançado L G,Achete C A et al. Nano Res.,2013,6:269
本文选自《物理》2019年第7期
其他
-
-
- 二维材料及其异质结的声子物理研究
- 作者:林妙玲1,2 孟达1,2 从鑫1,2 谭平恒1,2,3 (1 中国科学院半导体研究所) (2 中国科学院大学材料科学与光电技术学院) (3 北京量子信息科学研究院) 声子是固体最重要的元激发之
- 中国物理学会期刊网
-
-
-
- 象棋棋盘上的楚河汉界,到底是咋来的?
- 秦朝灭亡之后,留下了庞大的国土和皇帝宝座,为了争夺这笔遗产,项羽为首的西楚政权和刘邦建立的汉政权,将展开一场大战,谁赢了,谁就是中国第二个大一统王朝。 ××××××××××××××××××××××
- 赛雷三分钟
-
-
-
- 八月的酷热把城市溶化成冰淇淋
- by Emma Hartvig 漫歌集 八月的诗(五) 八月照相馆 - 加载失败 ╥﹏╥ - 00:00 / 00:00 “教我们数我们的日子” [美]丽塔•达芙 在破旧的街区,每个殡仪馆
- 灰光灯
-
-
-
- 《长安十二时辰》的“人肉智能”和上海24小时的“人工智能”
- 国产网剧《长安十二时辰》以极其精湛的美工设计和处处讲究的灯光摄影给观众还原了一个璀璨夺目的大唐盛世。 撇开这层烈火烹油般的繁华,该剧内核就是一部大唐版的美剧《反恐24小时》,无论是身手不凡、最大的规则
- 上海新闻广播
-
-
-
- 为什么有人总是走不出亏损?
- 所有炒汇人梦寐以求的是六个字,持续稳定盈利。然而多少炒汇人在失败的泥潭中苦苦挣扎却怎么也找不到突围之道。也许残酷的现实对很多人而言,最好的解决之道就是认输后远离炒汇。而对不甘心失败的人而言,要想转败为
- 思想猫资本
-
-
-
- 流量暴涨几千,只需写好或修好一个标题(2)
- 现在电商流量入口比较分散,有直播、手淘首页的猜你喜欢、达人推荐等等,如果你有更新、更快的引流资源,产品也适合玩,可以认真地策划一下,可以尝试利用更新渠道引流。但是,对于中小卖家来说,通过标题带搜索流量
- 淘宝那点事儿
-
-
-
- 第四架C919,一飞冲天!
- 今天早上5时32分,我国自主研制的C919大型客机104架机从上海浦东国际机场第四跑道起飞。 经过1小时25分的飞行,在完成了多个试验点、对飞机各系统进行了初始操纵检查后,6时57分返航并平稳降落,顺
- 中国交通广播
-
-
-
- “人民警察为人民,为人民警察鼓掌!” | 一线微观
- 7月28日上午11点30分许,新疆克拉玛依。乌尔禾区交警大队接到群众求助:一辆载有33名北京游客的旅游大巴在行驶中后轮滑下路基,车辆被架住中间,严重倾斜。大队民警迅速赶赴现场进行救助。 经了解得知,
- 公安部交通安全微发布
-
-
-
- 致军旗:如果我牺牲了......
- 编者语:樊娟玲是《西行的人生》公众号的读者,在看了《连长,还记得我吗?》这篇文章后给我留言说,“眼泪快出来了。不能在村里读到这些正能量满满的东西。最近突然很怀念我二舅,他是七十年代的战斗英雄,也是烈士
- 西行的人生
-
-
-
- 登陆地点确认!台风"韦帕"在海南闲逛了一圈后,正扑向广东,只是离深圳…
- 还记得上次的空调外机“丹娜丝”吗? 热带气旋外围的下沉气流 导致深圳“炎”值爆表 终于在昨天(31日)1点50分前后 降温台风"韦帕"在海南文昌沿海正式登陆 台风最新动向: 目前即将登陆雷州半岛
- 深圳特区报
-
-
-
- 刚刚,中共梅州市委七届七次全会开幕
- 中共梅州市委七届七次全会 今天上午,中共梅州市委七届七次全会在梅城召开。市委常委会主持会议。 市委书记陈敏代表市委常委会向全会作报告 主 要 任 务 深入贯彻落实习近平总书记对广东重要讲话和重
- 梅州微闻联播
-
-
-
- 最新!台风“韦帕”在海南登陆了!@中山人 今天仍不可大意!刚刚暴雨预警升级橙色
- 中山最具影响力新闻公众号 注意注意! 千万注意!! 台风“韦伯”登陆啦! 今年第7号台风“韦帕” 已于8月1日凌晨1时50分 在海南文昌市沿海登陆, 1日07时, “韦帕”中心位于海南省文昌市境内
- 城市零距离
-
-
-
- 厦门又一年轻小伙离世!不到30岁,猝死在床上!家人隔天发现!原因让人唏嘘…
- 唏嘘! 厦门又有人猝死…… 不到30岁 年纪轻轻的小伙 在床上不幸离世,再也没能醒来 家人第二天敲开门 发现呼吸、心跳停止! 而他致死的原因更是让人唏嘘! 很多人都有的这习惯…… (网络图片,文图
- 海峡导报
-
-
-
- 供应链计划顶级专家重磅来袭,与您独家分享他的领域心得!
- 关注我,让融融成为您的专属小太阳吧 库存周转率是在某一时间段内库存货物周转的次数,反映库存周转快慢程度的指标。为让更多小伙伴学习供应链与生产领域的知识,我们成功邀请到了供应链计划与库存控制领域顶级专
- 标准同行
-
-
-
- 山河已无恙,英雄要回家!大众网菏泽频道倡议:一起帮75位葬在菏泽的烈士找家
- 近日,山东省菏泽市张和庄烈士陵园守墓人张景宪帮无名烈士寻亲的故事,感动了全国网友。为了让更多革命英烈早日“魂归故里”,让亲人们的绵绵思念生发光芒,从今天起,新华社山东分社、山东省委网信办、山东省退役
- 菏泽大众网
-



朋友会在“发现-看一看”看到你“在看”的内容