- 早读|血压越低越好?舒张压有“下限”吗?
- 来源:好医术心学院
高血压的重要性,无须再强调。数据显示在众多心脑血管疾病中,高血压患病人数居首!根据《中国心血管健康与疾病报告2019》,推算我国高血压现患病人数达2.45亿!
目前对于高血压的治疗,很多人认为“血压低一些,好一些”。那么,真的是这样吗?舒张压有“下限”吗?
《高血压》(Hypertension)杂志2021年新近发表的一项研究结果再次肯定,收缩压(SBP)和舒张压(DBP)与心血管结局之间呈线性关系,提示血压低一些,好一些。
研究数据显示,收缩压每增加10 mmHg,心血管病风险就会增加49%,冠心病风险会增加50%、中风风险会增加44%。
然而在临床中,也会遇到收缩压高但舒张压低的患者。用药上,强化降压降低收缩压的同时也会降低舒张压,舒张压的降低是否会增加并发症风险?
但既往的观察性研究提示,舒张压与心梗风险之间呈“J型”或“U型”曲线关系,舒张压降得太低可能会增加心肌梗死风险。
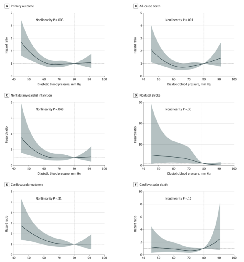
2021年我国学者在JAMA Netw Open发表的研究结果指出,舒张压不要低于60 mmHg,否则增加心血管事件的发生风险。
研究显示,对于收缩压控制在130 mmHg以下者,舒张压在70~80 mmHg,主要终点、次要终点、非致命性心肌梗死和心血管死亡的发生风险均最低。
而舒张压低于60 mmHg,则会增加46%的主要终点事件发生风险,74%的次要终点发生风险,73%的心肌梗死风险和167%的非致死性脑卒中风险。
图 不同舒张压降低范围主要终点、次要终点、全因死亡、非致死性心肌梗死、非致死性脑卒中、心血管死亡风险
新近发表在《循环》(Circulation)杂志上的另一项研究又“提出了不同的意见”,该研究结果明确指出:即使舒张压降低到50 mmHg以下,也不会增加心脏病发生的风险!
有媒体预测这是“高血压治疗颠覆性研究,或将改写临床指南!”
与既往的观察性分析不同,该研究使用孟德尔随机化(MR)分析。与传统的观察性研究相比,孟德尔随机化分析更不易受到混杂因素和反向因果关系的影响。
该研究结果显示,舒张压的正常水平似乎并无下限,当患者舒张压低于50 mmHg,也并无遗传学证据表明会增加心脏病风险。
研究者首先应用传统方法进行了分析,结果一如之前所示,舒张压与心肌梗死间存在“J”关系。
而之后的孟德尔随机化分析研究则并未发现舒张压与包括心肌梗死在内的不良心血管事件呈非线性的“J”型或“U”型关系。
线性孟德尔分析显示,舒张压的升高会增加心血管不良事件风险;非线性孟德尔分析则显示,随着舒张压降低,心肌梗死风险在持续降低,即便在基线舒张压水平较低的人,也是如此。
作者认为,如果患者的收缩压较高,而舒张压偏低,例如在70 mmHg左右,在将收缩压降至目标值的同时,舒张压自然也会降低,但这并不是坏事。
针对新近发布的这一研究结果,也有专家提醒,在临床随机研究验证之前,尚不能建议舒张压偏低的高血压患者强化降压。
收缩压高、舒张压低,到底该怎么用药?
上海交通大学医学院附属瑞金医院、上海市高血压研究所王继光教授此前参与中国医学论坛报组织的线上答疑活动时解释道,如果是老年患者,大动脉弹性功能下降或大动脉硬化,导致这类单纯收缩期高血压,即收缩压升高,舒张压正常甚至很低,仅有50~60 mmHg,此时我们只需要关注收缩压,而不用担心舒张压不能低至60 mmHg以下。
只有对于单纯舒张期高血压的患者,才有不能降至60 mmHg以下的说法。对于老年收缩期高血压患者,舒张压只有50 mmHg,而收缩压高达180 mmHg时,如果按照上述原则,就无法启动降压治疗,这显然是极其错误的,也严重违背了老年单纯收缩期高血压需要进行降压治疗的基本理论。因而,对于此类患者,一定要使用降压药控制升高的收缩压。
但是,如果患者年龄在80岁以上,不建议收缩压降得很低,如降至120~130 mmHg,推荐将收缩压降至150 mmHg就可以。对于年龄在65~80岁之间的老年人,收缩压可以降至150 mmHg以下,如降至140 mmHg左右甚至更低一点。如果患者年龄小于65岁,强烈建议将收缩压降至140 mmHg以下,降至130 mmHg左右的理想水平而没有任何耐受性问题,也是完全可以的。
因此,对于单纯收缩期高血压患者,舒张压不高,此时主要是看收缩压水平,而不要看舒张压是否又低了。而且通常来说,大动脉弹性通过控制血压得到明显改善时,舒张压不但不会下降,有时还会略微升高。所以治疗单纯收缩期高血压不仅可以降低心血管事件风险,也可以改善大动脉弹性功能,获得更加健康的血压形态,收缩压合适,舒张压也变得越来越合适。
参考文献:
[1] Malik R, et al. Relationship Between Blood Pressure and Incident Cardiovascular Disease: Linear and Nonlinear Mendelian Randomization Analyses. Hypertension. 2021 Apr 5. Epub ahead ofprint.
[2]Blood Pressure and Risk of Cardiovascular Disease in UK Biobank: A Mendelian Randomization Study. Hypertension, 4 Jan2021.
[3] A Linear and Non-Linear Mendelian Randomization Analysis of the Association Between Diastolic Blood Pressure and Cardiovascular Events: The J Curve Revisited. Circulation, Originally published 30 Nov 2020
[4] 中国医学论坛报今日循环
本文来源:中国医学论坛报今日循环
中国医学论坛报 小循 整理
相关阅读
猛戳 “阅读原文”,下载好医术APP查看精彩好课!
健康
-
-
- 千万别做“好女人”:70%脾虚的都是好女人
- 大家好,我是米医生 为什么要聊好女人这个话题因为最近看得是真的多 先说第一个患者她真的是严重痰湿体质而且这个痰湿怎么化都很困难 后来问诊时患者告诉我虽然自己外表看似坚强但内心真的压力很大一方面自己是...
- 素问轩
-
-
-
- 前车之鉴:得了白癜风,这些事儿别做了!
- 白癜风虽然难治,但是医学也在发展,其治疗也不再如曾经,大大的提高了康复率。但是仅有科学专业的治疗方案,在日常生活中不做好护理、防止白癜风扩散或者复发的工作,那么再好的治疗也是无用的。白斑缠身后,这...
- 白癜风
-
-
-
- 肢体麻木、无力,到底是哪里出了问题?
- 肢体麻木是指肢体的感觉功能减退或消失的异常感觉。“麻”指自觉皮肤肌肉内有如虫行感,并按之不止;“木”指皮肤无痛痒温冷感觉,并按之不知。肢体无力是指肢体运动功能障碍的表现,程度可以从不影响日常活动的...
- 人卫健康
-
-
-
- 脱发、脖子痛、失眠……常见小毛病如何应对?丁香医生准备了一份靠谱方案!
- 这届打工人有多惨?前有 996 是「福报」,后有全民内卷化。拼命让自己站在风口上赚钱,拼到不敢生病不敢辞职,然而残酷的现状往往是:钱没给到位,满身小毛病一步到位。不是焦虑性失眠,就是报复性熬夜,逐渐后...
- 丁香生活研究所
-
-
-
- “医生揭肿瘤治疗黑幕”最新进展:涉事企业罚没款165万元!涉事医生暂停执业半年,
- 日前,上海市卫健委监督所官方网站公布了“肿瘤治疗黑幕”涉事医生陆巍的相关处罚结果。记者今日从上海市卫健委监督所了解到,对于陆巍医生的处罚结果为警告并暂停执业6个月,罚款三万元。处罚事由是未按规定告...
- 医学信使
-
-
-
- 曾致9名大学生紧急入院!官方首次明确:不安全!
- 即将到来的5月31日是第34个世界无烟日,今年的主题为“承诺戒烟”。国家卫健委与世界卫生组织驻华代表处26日联合举办新闻发布会,发布《中国吸烟危害健康报告2020》。《报告2020》新增加了电子烟的健康危害章节...
- NBTV新闻
-
-
-
- 夏季是脚气高发季节,它到底是怎么来的?又该如何缓解?
- 夏天天气一热,人们流汗变得多了起来。稍一运动,不仅是头部和胸口以及后背容易流汗,手脚部位也会出汗。此时人们往往更容易出现汗疱疹以及脚气的问题。汗疱疹还好,本身并不会传染。而脚气就不同了,会瘙痒会散...
- 陪你养生
-
-
-
- 这个年龄段的人群,心肌梗死发病率三年中增加了三成!八项危险因素要注意
- 通讯员 沈文礼 记者 柴悦颖今天,杭州“80后”的张先生(化名)在“鬼门关”走了一趟。连续熬夜加班后,张先生早上起来突感胸痛不适,他支撑着身体自行打车来到距离最近的浙江大学医学院附属杭州市西溪医院,经...
- 杭州日报养生道
-
-
-
- 里程碑!首个KRAS抑制剂今日获FDA加速批准,治疗非小细胞肺癌
- ▎药明康德内容团队编辑今日,美国FDA宣布,加速批准安进(Amgen)公司开发的Lumakras(sotorasib)上市,用于治疗肿瘤携带KRAS G12C突变的非小细胞肺癌(NSCLC)患者。这些患者至少接受过一种前期全身性治疗。...
- 药明康德
-
-
-
- 我国新冠疫苗不良反应数据首次公开,12个问题全解
- 拓展阅读郁琦教授:打破绝经认识误区,激素治疗并不可怕接种HPV疫苗不能等,能约上哪个打哪个这个癌症几乎没有症状,20-30%和遗传有关最全面的阴道炎防治秘籍,你一定要看看!日本性教育短片刷屏:无数网友看到...
- 医者部落
-
-
-
- 吓人!一小伙尿毒症晚期,只因把可乐当水喝?这些事劝你早点知道…
- 本文专家: 朱宏建,北京市健宫医院泌尿外科主任,主任医师夏天到了,天气逐渐热起来,大家的空调和电扇是不是已经安排上了?什么,光有这些还不够?那么喝上一杯冰可乐,是不是感觉好极了?如果一杯不够,那么再...
- 科普中国
-
-
-
- 早啊,健康来了![2021.5.29]
- 【北极海冰消融或加速病原菌传播】英国自然科研旗下《科学报告》杂志发表一项生物学研究指出,气候变化造成的北极海冰减少可能会让感染海洋哺乳动物的病原菌在北大西洋和北太平洋之间更频繁地传播。海冰消融等环...
- 宁夏微健康
-
-
-
- 关于MR4.5:靶向药治疗白血病的最佳效果是什么?
- 谈及白血病靶向药治疗会多涉及到酪氨酸激酶抑制剂,有关于疗效前提需要先了解分子学无法检测的概念,下文进行一一解析。关于MR4.5:靶向药治疗白血病的最佳效果是什么?分子学反应(英文缩写为:MR)是一个数量...
- 白血病病友会
-
-
-
- 25-羟维生素D3可能是治疗脂肪吸收不良和肥胖患者维生素D缺乏的一种新方法
- 科普Tips:25羟维生素D是维生素D在体内的主要存在形式。维生素D为类固醇衍生物,属脂溶性维生素,为环戊烷多氢菲类化合物。维生素D主要由人体皮肤经紫外线照射后合成,少部分从食物或补充品中摄入。维生素D不仅...
- 泰怡康成
-
-
-
- 早读|血压越低越好?舒张压有“下限”吗?
- 高血压的重要性,无须再强调。数据显示在众多心脑血管疾病中,高血压患病人数居首!根据《中国心血管健康与疾病报告2019》,推算我国高血压现患病人数达2.45亿!目前对于高血压的治疗,很多人认为“血压低一些,...
- 好医术心学院
-
