- 【交易策略跟踪】2019.09.09:镑美快速下跌,洗盘快速拉升
- 来源:思想猫资本
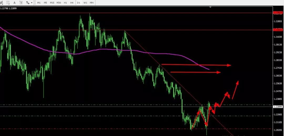
【上周交易策略简报】
1、镑美,假突破,快速拉升,继续做多;
2、美加,跌破新低,反弹做空;原油,大区间震荡,高抛低吸;
3、美日,强势反弹,耐心等待时机做空;黄金,进入震荡,止跌支撑做多。
黄金周评:日线级别,目前多头进入震荡,回调止跌做多。
4小时级别,回调继续做多,接下来进入震荡格局。
原油周评:日线级别,不再顺畅的单边,而是大区间震荡,大压力支撑来回做。
4小时级别,在144日均线之间缠绕,上方压力做空,下方支撑做多。
英镑兑美元周评:日线级别,没有形成完整的右肩,而是刺破2B结构,假跌破后,快速拉升修复。按目前的走势,本周继续做多。
4小时级别,回踩站稳144日均线,继续做多。
美元兑加元周评:日线级别,还是跌下来了,小反弹后继续做空。
4小时级别,跌破144日均线,向下走,接下来反弹再次做空。
美元兑日元周评:日线级别,2B结构阶段性筑底反弹,短期不适合做空,要么短多,要么做空等等高位受阻再说。
4小时级别,初步站上144日均线,有进一步上升的态势,短期可以做多。
欧元兑加元周评:日线级别,创新低,反弹继续做空。
4小时级别,破新低,在144日均线下方,弱势反弹先做空。
更多精彩,为您推荐
形态结构时间拐点(一):构建一个最基本的交易模型
【位置空间盲点利润四】天下武功唯快不破!以一分钟交易训练为例
300亿大窟窿!这家平台实控人被判刑15年,没收个人财产1亿元
踏上最后一班安全利润的列车!
【全城寻你】我们需要与众不同的您!
免责声明:本文由思想猫资本原创出品,部分图片自网络,转载请注明出处。
我们对文中观点保持中立,仅供参考、交流之目的,若涉及版权请告知。
金融
-
-
- 中邮2019年9月11日星期三固收日报
- 一、资金面(平玥) 央行开展300亿7天期逆回购操作,今日无逆回购到期,实现当日净投放300亿。资金面整体平衡偏松,隔夜加权价格在2.45%左右,下行10bp。早盘开始主流机构纷纷融出,各机构迅速平盘
- 朱房路29号
-
-
-
- 有个新概念在默默的发酵了!——至尊龙虎榜
- 操作须知 本文以解读龙虎榜为主,有代码有操作方法,但是打板和追板本来就是高风险高收益战法,请阅读以下须知: 1.心理素质不好的请绕行 2.承受能力不强的请绕行 2.满仓打板操作的请绕行 3.不按策略操
- 至尊龙虎榜
-
-
-
- 【交易策略跟踪】2019.09.09:镑美快速下跌,洗盘快速拉升
- 【全城寻你】我们需要与众不同的您! 【上周交易策略简报】 1、镑美,假突破,快速拉升,继续做多; 2、美加,跌破新低,反弹做空;原油,大区间震荡,高抛低吸; 3、美日,强势反弹,耐心等待时机做空;黄
- 思想猫资本
-
-
-
- 目前是库存周期的什么阶段?
- 债市启明系列20190909.m4a - 来自明晰笔谈 - / 08:01 明债券研究团队 报告要点 综合来看,当前仍是库存周期中的主动去库存。结合历史经验看,今年4季度末库存周期可能慢慢走稳。主动去
- 明晰笔谈
-
-
-
- 20190909:主流题材休整,关注低位板块
- 1.市场观察: a. 整体: 上周五市场高位震荡后回落,科技、军工、类券商都如期分化调整,九鼎新材、华北制药、深南股份、东方通等人气股集体熄火,科创板也在反弹后大跌,市场高度下降至3板,且连
- 无名猎手
-
-
-
- 宜品乳业攻克乳清技术难题,推出纯绵羊奶粉,不含一滴牛乳成分!
- 由于国内奶酪消费市场规模较小,长期以来,国内婴幼儿配方奶粉企业所使用的脱盐乳清粉几乎完全依赖进口,或者在脱盐生产中采用进口设备,投入成本较高。 尤其是羊乳清粉,因原料供应和脱盐技术的限制,导致脱盐羊
- 财经啸侃
-
-
-
- 你有炒股的天分吗?(20190908)
- 郑重提醒: 本人没有其他公众号。 本人没有微博。微博上复制我公众号文章的,都是骗子。 本人没有任何收费学习群。本人没有任何股票交流群。 凡是用本人名义联系您做股票或者收费的任何事项,都是骗局。 请谨防
- 陶博士2006
-
-
-
- 量化选股结果核对(20190907)
- 郑重提醒: 本人没有其他公众号。 本人没有微博。微博上复制我公众号文章的,都是骗子。 本人没有任何收费学习群。本人没有任何股票交流群。 凡是用本人名义联系您做股票或者收费的任何事项,都是骗局。 请谨防
- 陶博士2006
-
-
-
- 程曼志:外汇黄金交易被洗盘是经验,生活被洗礼是成长
- 近期不少投资者找到程曼志前来询问行情,特别是做黄金的朋友,大部分都在深.套中,不是锁仓就是扛单,到处找所谓的专.家和高手来帮忙,可以说是一套牢成千古恨!但是,我也发现大部分人很少去总结,这就像做数学题
- q668yh黄金分析
-
-
-
- 炒股|短线|9.08好运哥A股复盘,降准下周大涨?牛市来了
- 点击蓝色字关注我们! 本文及本公众号任何文章的观点,仅记录个人每天心得体会,所涉及思路及股票制作学习和交流,不构成买卖建议,不是推荐股票,买卖股票,请注意投资风险,责任自负,您可以参考,
- 好运小股迷
-
-
-
- 长线投资社群:一周交流精选 (第三十六期2019.09.08)
- 这是长线投资社群的第285篇原创文章 长线投资社群宗旨:为长线投资者提供一个免费交流和互动的平台,一切以成长价值为核心。很多人做了一辈子股票都没搞清楚股价为什么涨跌。为了帮助更多人认识价值投资,交流
- 长线投资社群
-

朋友会在“发现-看一看”看到你“在看”的内容