- “妈,你煮的饺子热力学平衡太完美了!” | 如何科学赞美年夜饭
- 来源:灼见
春节期间,你的家人会准备些什么好吃的?
无论蒸饺子还是煮饺子,炖肉还是涮火锅,大多数烹饪方式都离不开水。不同的烹饪方式为相同的食材赋予了截然不同的风味和口感,这其中就有物理学的功劳。
今天就为大家带来这个故事:论蒸、煮、涮的热力学过程。
图片来自 Vecteezy
作者|向菲菲
来源 |科研圈(keyanquan)
在一次学术访问中,意大利超导物理学家安德烈·瓦拉莫夫(Andrey Varlamov)来到了复旦大学,陈焱教授及其学生周正带着他在上海逛吃逛吃,其中小笼包,饺子和火锅让他最为印象深刻。
接下来,三人一起用热力学的知识分析了这些食物的烹饪过程,试图回答一个重要的问题:为什么蒸、煮、涮都是利用水的沸腾来进行烹饪,但做出来的食物的口味和口感却如此不同。
01假设一个理想的球形肉丸……
首先假设要研究的包子和饺子都是肉馅的,那么烹制包子、饺子的过程就涉及到肉类从生变熟的过程。
肉制品是由一系列复杂的蛋白质构成的。生肉中的蛋白质呈现出纠缠的长链状,在加热的过程中,随着温度升高,蛋白质长链开始打开、变直;当温度达到肉制品的临界温度值Td时,蛋白质长链会被“挤压”成类似地毯的形状,这个过程就是蛋白质的变性。不同肉类的临界温度稍有不同,但总的来说,蛋白质变性通常发生在相对较低的温度:肉类的变性温度在 55°C-80°C 之间,而鱼肉的温度则更低一些。总之,用沸水煮熟的肉类,我们都能够确定它们的蛋白质已经变性完全。
蛋白质变性的过程。| 图片来自论文
从物理学的角度上看,生肉和熟肉的不同之处在于其蛋白质的状态不同,也就是它们所处的能量不同。让蛋白质变性需要越过一个能量势垒。在室温下,这个能垒比较高。在烹饪的过程中,随着温度逐渐升高,蛋白质中的能量会相应改变。当达到下图中的最高点时,蛋白质将会进入一个新的状态,发生变性,肉就做好了。这就是烹制肉类食品的过程。
蛋白质在温度升高时越过能量势垒的示意图。| 图片来自论文
就物理学过程而言,不论是包子还是饺子,烹饪的最终目的就是让里面的肉馅变熟,即在烹制过程中令温度达到能使给定体积下的肉开始变性的最低温度。蒸和煮这两个过程都能给包子和饺子里的肉馅提供 100°C 的温度。
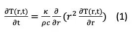
因此综合上面的描述,作者们提出了煮肉的一个最简单的模型:假设要烹制的肉是一块具有球形对称形状的均匀肉丸,半径为 R,初始温度为T0,热导系数为 κ,放置在一个具有固定温度为Te的环境中。那么要让肉丸中间的部分达到温度Tg需要多长时间?
热量在球形对称的肉丸中渗透。| 图片来自论文
在数学物理中,球形内部的热传导过程由一个复杂的微分方程描述:
其中,T(r,t) 是在 r 点,t 时间下的温度,κ 是热导系数,ρ 是密度,c 是比热。由于蒸和煮都能为肉丸提供 100°C 的温度。因此,
假设要蒸的包子和饺子都是刚刚从冰箱冷藏室拿出的,因此整个肉丸处于 4°C 的温度状态:
方程(2)和(3)决定了微分方程的边界条件。把这三个公式交给数学家,再告诉他们肉的热导系数,密度,比热,他们就能写出世界上最精确的炖肉食谱。
02为什么小笼包如此美味多汁?
蒸的过程就是利用处于 100°C 的水蒸气将放置其中的食物加热。瓦拉莫夫和合作者们提出的问题,就是在热力学上如何维持包子表面100°C的温度。
图片来自 Pixabay
将刚从 4°C 的冰箱拿出的冷包子放入蒸笼里时,包子表面附近的水蒸汽处于极度过饱和状态。它们开始在包子表面快速凝结,并迅速升温至环境温度—— 100°C。
假设温度的跳跃式改变发生在一个靠近包子表面的非常小的区域,再利用(2)和(3)边界条件和公式(1);考虑蒸的过程中热流是由每秒“着陆”在1cm2包子表面的水蒸汽提供的,因此单位时间单位平方厘米的包子外皮上凝聚的水分子数为
其中 Γ 代表蒸发的比热,N(t) 是单位时间内凝聚的分子数,m(t) 是凝聚分子的质量,NA是阿伏伽德罗常数,μH2O是水分子的分子质量。
包子可以“感知”自己需要多大的热流来维持表面 100°C 的温度。因此我们只需要知道水蒸汽从哪里来,就能知道在给定的一秒钟内,包子表面一平方厘米上会凝结多少个水分子。
蒸包子过程中水的相图。| 图片来源论文
和煮相比,蒸有哪些好处?作者们在论文中指出:“由于扩散作用,水渗透进馄饨中,并与馄饨中的肉馅相互作用,使其具有多汁的口感;然而同样的扩散也存在于从馄饨内部扩散到煮馄饨的水中,将馅料的味道稀释。而在蒸包子的过程中,包子处于饱和蒸汽的环境中,但是却没有相反的过程出现。因此,蒸的小笼包的口感会比煮的馄饨更加多汁,并且馅料的味道也更加丰富。”
03煮饺子为什么比蒸要快?
煮的过程与蒸的过程类似,都是利用沸腾的水来加热食物,不同之处在于需要直接将食物扔进 100°C 的沸水里。那么,将与包子放在同一个冰箱中的饺子拿出来直接丢进沸腾的热水里,饺子肉馅内部的热传递过程和边界条件也适用于前面提到的公式(1)~(3)。
图片来自 Unsplash
但如何确定上面那个复杂方程的解呢?在这里作者利用了量纲分析方法。肉馅中的蛋白质变性的温度与水的沸点在同一个数量级(有 20%-25% 的差异)。
因此,假设将关键温度传递到一个球状固体的中心所需的时间只与这个固体的材料参数有关:肉的热导系数,密度,比热和半径。经过一系列运算最后得到煮饺子的时间与上述参数的关系为:
其中,C0为未知的常数项。将 κ, ρ, c 的具体数值代入公式中,可得到肉的温度传导系数 χ= /с = 1.5×10-7m/ s,因此 1 斤肉大约需要煮一个半小时。这种估算从某种程度讲有点夸张,这是因为论文作者只考虑了蛋白质变性的温度与水的沸点在相同的量级,却没有做出区分;而且我们也不会把一斤肉全部包进一个饺子里,而是会做成许多个饺子,大大缩小了每个肉丸的半径,烹饪时间也就相应缩短了。
相较于蒸包子,煮饺子的过程更容易维持饺子周围 100°C 的环境温度:冷饺子刚下锅时,饺子周围的水温会稍有下降,但由于水的比热较大,有较高的导热性,热对流作用会将热源源不断的从炉子传递到锅内,因此水会在短时间内再一次沸腾,让饺子能达到公式(2)的边界条件,使热量能源源不断地传递到饺子中去。因此市面出售的直径在 2cm 左右的水饺,只需要煮几分钟就可以上桌享用了。
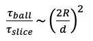
04涮肉片:其实还可以更快的
涮也可归为煮的一种,不同的是涮的过程通常只需要几秒,而煮通常需要几分钟的时间,比如煮火锅丸子。那么煮牛肉丸和涮牛肉片到底有什么不同呢?
图片来自 Pixabay
若考虑一个物体占据 x>0 的空间,它的密度,热容和热导率分别为 、、,当温度在 t=0 时,为T0。现在如果将这个物体的表面在 x=0 处的温度改变到T1,并保持在这个温度下。根据图6显示的温度在半空间内的渗透方式,并引入新的参数来描述温度随时间的累积,最后得到烹制牛肉丸和涮牛肉片的时间比率为
国内常见的牛肉片厚度约为 1mm,若假设我们所吃的牛肉丸的半径为 1cm,那么 2R/d=20,因此时间比率大约为
等一下,这个结果仿佛有哪里不对?
根据生活经验,肉丸煮熟所需的时间大约为 5min,而涮牛肉片的时间只需要 10s 左右,因此实际的时间比率约为 30。
根据理论计算出的数值竟然和生活经验得到的数值相差了一个数量级,这是因为在利用上面公式计算时间的时候忽略了肉中蛋白质变性所需要的时间,只假设所有的烹饪时间都花在将必要的温度 “传递”到整个肉中。肉馅中蛋白质变性的时间非常短,以至于和热传递时间相比可以忽略;但是涮肉的热传递时间很短,因此蛋白质变性时间变得极为重要,需要将该时间考虑在内。
因此,在上式加入了有蛋白质变性时间的修正项:
因为牛肉的温度传导系数为beef= 1.5×10-7m2s-1,所以公式中的第二项约为 0.5s,第一项中蛋白质的变形时间则为 10s。也就是说涮肉所用的十几秒的时间几乎全部用来等待肉中蛋白质完成变性了,而因为煮肉丸所用的时间较长,10s 的时间因而可以忽略不计。
温度在半空间的渗透示意图。| 图片来自论文
另外,经常吃鸳鸯锅的朋友们都知道,漂着厚厚一层红油的辣汤锅底总是比清汤锅底先沸腾。油的沸点远高于水的沸点,为什么反而是红油锅底先开锅呢?
其实红油锅底中,沸腾的并不是油而是锅内那一小部分水。油的比热容大约是水的一半,因此让油升温到 100°C 只需要让水上升到相同温度所需热量的一半即可。此外,热耗散也对红油锅沸点时间短有所贡献,根据牛顿冷却定律可知,在红油与空气界面上的热耗散比清汤中水与空气界面的热耗散小了两个数量级,因此带有红油的辣锅的保温能力比清汤的更好。
喜欢,就给我一个“好看”
灼见 2019
本文选自公众号:科研圈(keyanquan),作者:向菲菲。灼见经授权发布。
参考资料:
[1] https://arxiv.org/ftp/arxiv/papers/1806/1806.09912.pdf
[2] https://books.google.de/books?id=kp15DwAAQBAJ&pg=PA171&lpg=PA171&dq=Boiling,+steaming+or+rinsing?+(physics+of+the+Chinese+cuisine)&source=bl&ots=AG32ygwM_G&sig=iwywdDRljrTRox1dXl5DsIQCXcs&hl=en&sa=X&ved=2ahUKEwindDejNHfAhUENOwKHdotA6kQ6AEwD3oECAcQAQ#v=onepage&q=Boiling%2C%20steaming%20or%20rinsing%3F%20(physics%20of%20the%20Chinese%20cuisine)&f=false
[3] https://www.sciencedirect.com/science/article/pii/S2352618115000657
[4] https://www.emeraldinsight.com/doi/abs/10.1108/NFS-11-2012-0123
[5] https://zhuanlan.zhihu.com/p/34406612
[6] //www.sohu.com/a/287771773_267106
第一个走遍故宫9371座房屋的人,“宫斗”八年让故宫达到亿万级
深度:从体重 270 斤,到海豹突击队之王,他只做对了一件事
情感
-
-
- “妈,你煮的饺子热力学平衡太完美了!” | 如何科学赞美年夜饭
- 灼见――聚合有穿透力的思想观点和有愉悦感的艺术作品。
- 灼见
-
-
-
- “女儿,你已经12年没回家了。”母亲的一句话,让人心酸
- 受了委屈,记得回家。
- 围炉夜读
-
-
-
- 不要伤心 都会好起来的
- ▼点击可听 01 有时候,日夜思念。可是当思念的人出现在眼前,你却安之若素。 ——心情句子 02 “一生败在太要脸爱钱爱的不明显” ——心情句子 03 最难做到的几件事:减肥,早睡,早起,让喜
- 心情句子
-
-
-
- 春运最后一趟回家列车里,有着他们不被理解的人生
- 那些人的牺牲应该被这个社会记住。
- 一日一度
-
-
-
- 懂你+包容你+原谅你+在乎你=最真的情
- -点题目下方蓝字关注有听爱情 每晚与你聆听幸福 点上方绿标即可收听朗读音频 ◆◆◆ 文 | 主页君 你说你想有个懂你的爱人,但是他只懂你却不能包容你、你犯的错误他斤斤计较、你受了伤他也漠不关心,你才知
- 有听爱情
-
-
-
- 人生很难,但别忘记勇敢
- 活在这个世上,n做人不难,n难的是想做个好人。
- 一禅小和尚
-
-
-
- 地铁上,这对母子一夜刷屏:敢这样做的妈妈,怎么可能教出熊孩子?!
- 穷养富养,都不如教养!
- 窈窕妈妈
-
-
-
- “过年回家,婆婆说啥都不让我进厨房!”背后的真相令人辛酸....
- 婆婆说,我都把她气笑了
- 她刊
-
-
-
- 哪些朋友圈,一看就是好女人
- 朋友圈如今就是一个小世界,它记录了我们的日常生活,满足了我们的日常社交需求。虽然不是我们生活的全部,却能像一面镜子,从侧面反映出一个人的生活状态和品格。 由此可见,从你发的朋友圈,就能看出你是怎样的人
- 卡娃微卡
-
-
-
- 舔狗式家长,请不要把孩子送回恶魔蒋玉芬手里
- 因为在最需要保护的时候,并没有人真正站在她身边。
- 我们心里都有病
-
-
-
- “丈夫丈夫,一丈之内才是夫”
- 想要久处不厌的爱情,心不能离得太远。
- 不二大叔
-
-
-
- 找一个用身体疼你的人
- 爱一个人,不要听他说了什么,而要看他做了什么
- 有听爱情
-
-
-
- 37岁离婚男相亲聊天记录曝光:我月薪2万,娶个老婆生儿子怎么了?!
- 37岁离婚男相亲聊天记录曝光: 我月薪2万,娶个老婆生儿子怎么了?! 文|窈窕妈妈 图 | 来自网络 出处|窈窕妈妈(ID:iiimum) 一个离婚两年的男性朋友,托我帮他介绍一位女朋友。 他今
- 每日七言
-
